Приказ Комитета по охране объектов культурного наследия Курской области от 15.10.2021 № 01.1-08/491
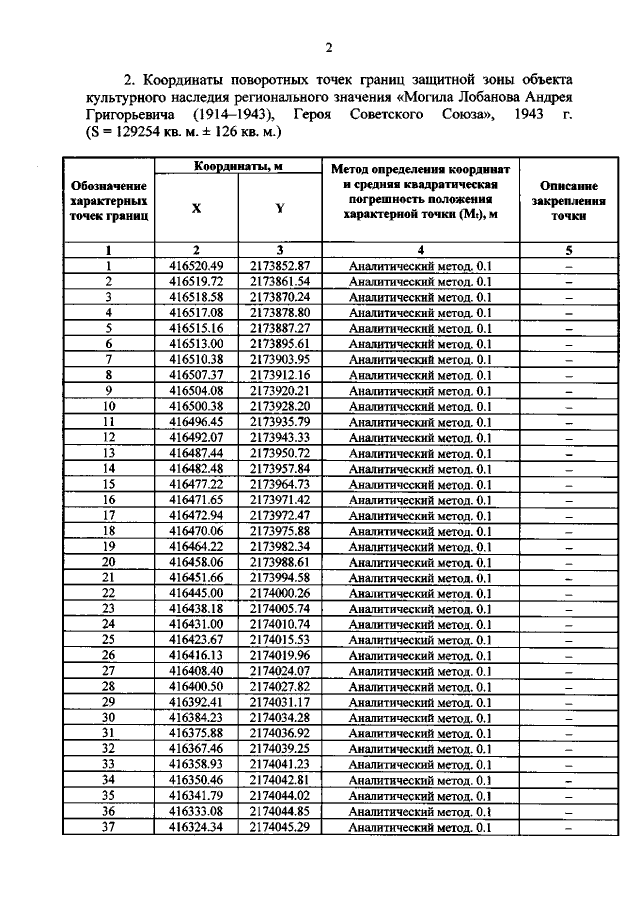
"Об утверждении графического описания местоположения границ защитной зоны объекта культурного наследия регионального значения "Могила Лобанова Андрея Григорьевича (1914–1943), Героя Советского Союза", 1943 г.(Курская область, Тимский район, с. Волобуевка)"
"Об утверждении графического описания местоположения границ защитной зоны объекта культурного наследия регионального значения "Могила Лобанова Андрея Григорьевича (1914–1943), Героя Советского Союза", 1943 г.(Курская область, Тимский район, с. Волобуевка)"
Номер опубликования: 4601202110210040
Дата опубликования:
21.10.2021
