Приказ Комитета по охране объектов культурного наследия Курской области от 15.10.2021 № 01.1-08/488
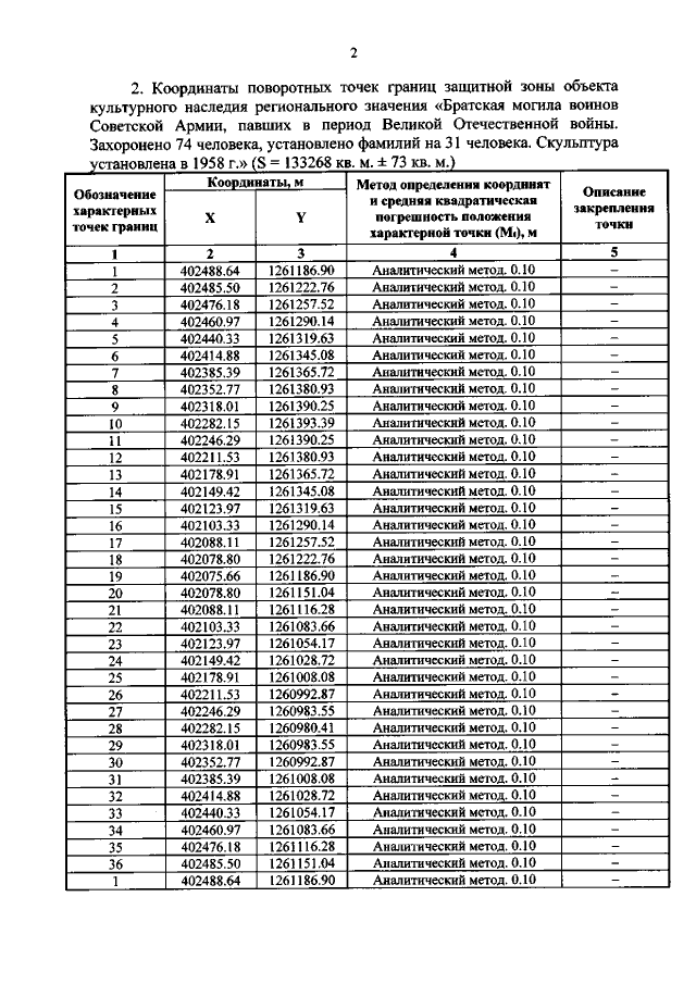
"Об утверждении графического описания местоположения границ защитной зоны объекта культурного наследия регионального значения "Братская могила воинов Советской Армии, павших в период Великой Отечественной войны. Захоронено 74 человека, установлено фамилий на 31 человека. Скульптура установлена в 1958 г." (Курская область, Большесолдатский район, пос. Колпаково (в совхозном сквере)"
"Об утверждении графического описания местоположения границ защитной зоны объекта культурного наследия регионального значения "Братская могила воинов Советской Армии, павших в период Великой Отечественной войны. Захоронено 74 человека, установлено фамилий на 31 человека. Скульптура установлена в 1958 г." (Курская область, Большесолдатский район, пос. Колпаково (в совхозном сквере)"
Номер опубликования: 4601202110210039
Дата опубликования:
21.10.2021
