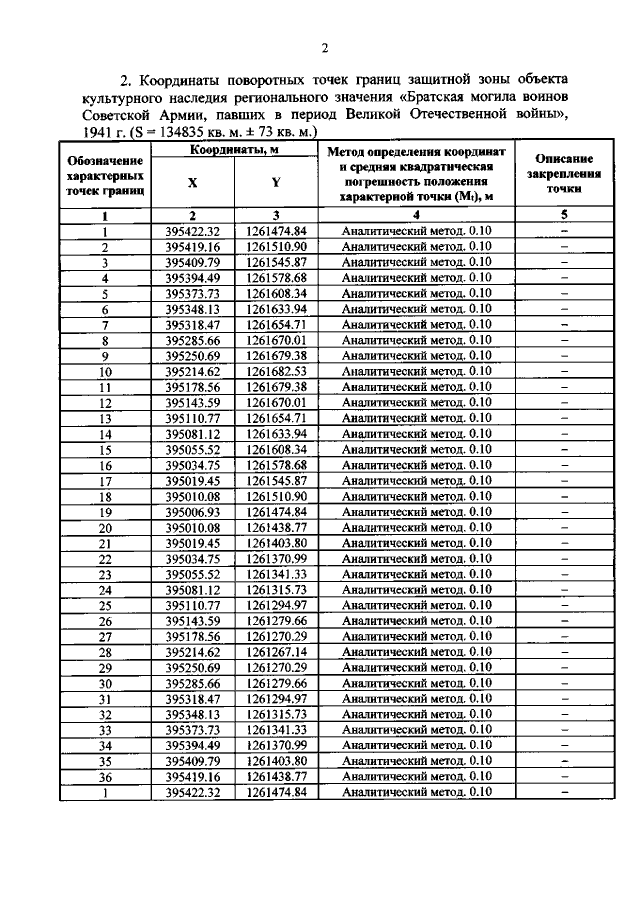
Приказ Комитета по охране объектов культурного наследия Курской области от 15.10.2021 № 01.1-08/489
"Об утверждении графического описания местоположения границ защитной зоны объекта культурного наследия регионального значения "Братская могила воинов Советской Армии, павших в период Великой Отечественной войны", 1941 г. (Курская область, Большесолдатский район, с. Любимовка)"
"Об утверждении графического описания местоположения границ защитной зоны объекта культурного наследия регионального значения "Братская могила воинов Советской Армии, павших в период Великой Отечественной войны", 1941 г. (Курская область, Большесолдатский район, с. Любимовка)"
Номер опубликования: 4601202110210038
Дата опубликования:
21.10.2021
