Приказ Комитета по охране объектов культурного наследия Курской области от 15.10.2021 № 01.1-08/496
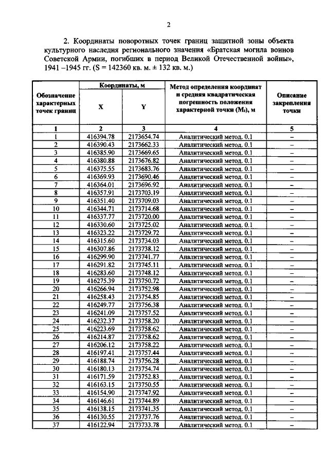
"Об утверждении графического описания местоположения границ защитной зоны объекта культурного наследия регионального значения "Братская могила воинов Советской Армии, погибших в период Великой Отечественной войны", 1941 –1945 гг. (Курская область, Тимский район, деревня Постояновка, улица Луговая)"
"Об утверждении графического описания местоположения границ защитной зоны объекта культурного наследия регионального значения "Братская могила воинов Советской Армии, погибших в период Великой Отечественной войны", 1941 –1945 гг. (Курская область, Тимский район, деревня Постояновка, улица Луговая)"
Номер опубликования: 4601202110210037
Дата опубликования:
21.10.2021
