Официальное опубликование правовых актов
ОФИЦИАЛЬНОЕ ОПУБЛИКОВАНИЕ
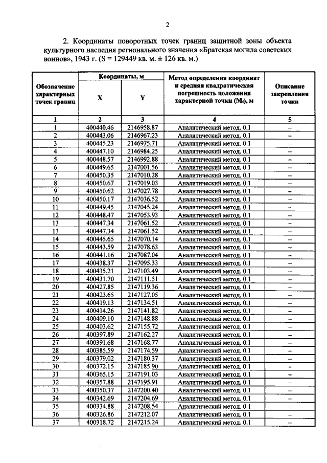
Приказ Комитета по охране объектов культурного наследия Курской области от 15.10.2021 № 01.1-08/493
"Об утверждении графического описания местоположения границ защитной зоны объекта культурного наследия регионального значения "Братская могила советских воинов", 1943 г. (Курская область, Тимский район, д. Ближняя Каменка)"
Номер опубликования: 4601202110210036
Дата опубликования: 21.10.2021
Страница №3 из 6:
Увеличить