Приказ Комитета по охране объектов культурного наследия Курской области от 15.10.2021 № 01.1-08/499
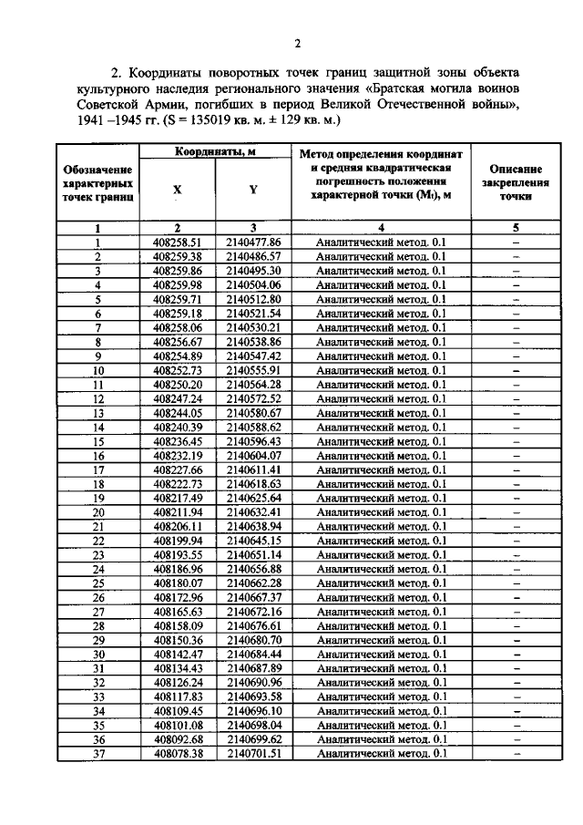
"Об утверждении графического описания местоположения границ защитной зоны объекта культурного наследия регионального значения "Братская могила воинов Советской Армии, погибших в период Великой Отечественной войны", 1941 –1945 гг. (Курская область, Тимский район, село Рождественка (на восточной окраине села)"
"Об утверждении графического описания местоположения границ защитной зоны объекта культурного наследия регионального значения "Братская могила воинов Советской Армии, погибших в период Великой Отечественной войны", 1941 –1945 гг. (Курская область, Тимский район, село Рождественка (на восточной окраине села)"
Номер опубликования: 4601202110210035
Дата опубликования:
21.10.2021
