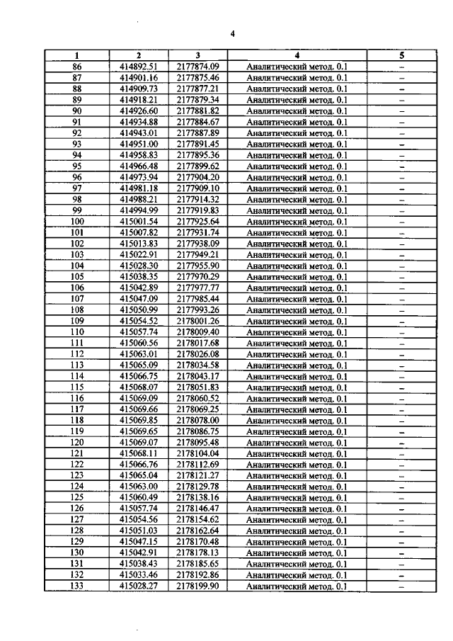
Приказ Комитета по охране объектов культурного наследия Курской области от 15.10.2021 № 01.1-08/498
"Об утверждении графического описания местоположения границ защитной зоны объекта культурного наследия регионального значения "Могила неизвестного советского воина", 1943 г. (Курская область, Тимский район, с. Рогозецкий Колодезь)"
"Об утверждении графического описания местоположения границ защитной зоны объекта культурного наследия регионального значения "Могила неизвестного советского воина", 1943 г. (Курская область, Тимский район, с. Рогозецкий Колодезь)"
Номер опубликования: 4601202110210034
Дата опубликования:
21.10.2021
