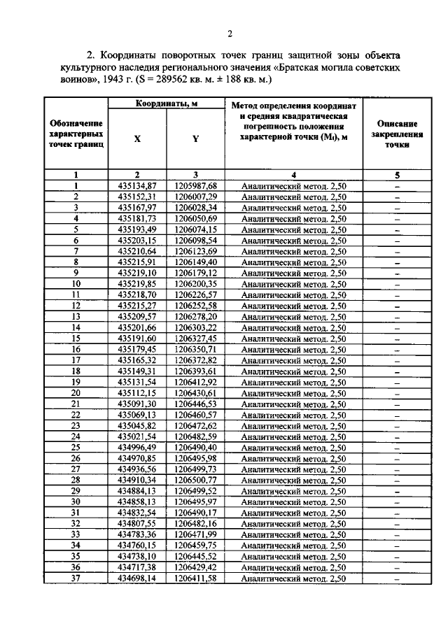
Приказ Комитета по охране объектов культурного наследия Курской области от 14.10.2021 № 01.1-08/472
"Об утверждении графического описания местоположения границ защитной зоны объекта культурного наследия регионального значения "Братская могила советских воинов", 1943 г. (Курская область, Хомутовский район, х. Богомолов, Цинов лес)"
"Об утверждении графического описания местоположения границ защитной зоны объекта культурного наследия регионального значения "Братская могила советских воинов", 1943 г. (Курская область, Хомутовский район, х. Богомолов, Цинов лес)"
Номер опубликования: 4601202110210025
Дата опубликования:
21.10.2021
