Приказ Комитета по охране объектов культурного наследия Курской области от 14.10.2021 № 01.1-08/468
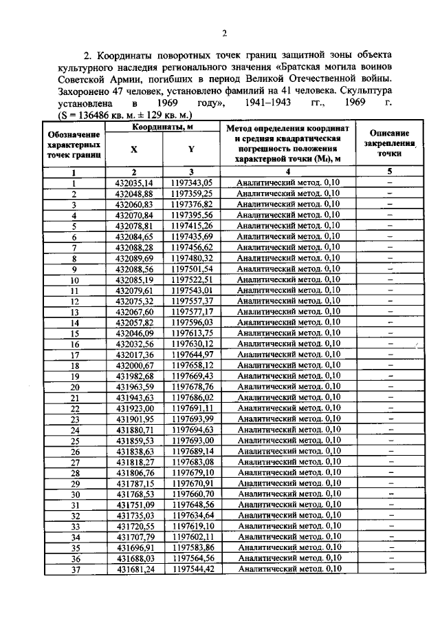
"Об утверждении графического описания местоположения границ защитной зоны объекта культурного наследия регионального значения "Братская могила воинов Советской Армии, погибших в период Великой Отечественной войны. Захоронено 47 человек, установлено фамилий на 41 человека. Скульптура установлена в 1969 году", 1941—1943 гг.‚ 1969 г. (Курская область, Хомутовский район, село Поды (у здания средней школы)"
"Об утверждении графического описания местоположения границ защитной зоны объекта культурного наследия регионального значения "Братская могила воинов Советской Армии, погибших в период Великой Отечественной войны. Захоронено 47 человек, установлено фамилий на 41 человека. Скульптура установлена в 1969 году", 1941—1943 гг.‚ 1969 г. (Курская область, Хомутовский район, село Поды (у здания средней школы)"
Номер опубликования: 4601202110210016
Дата опубликования:
21.10.2021
