Приказ Комитета по охране объектов культурного наследия Курской области от 14.10.2021 № 01.1-08/470
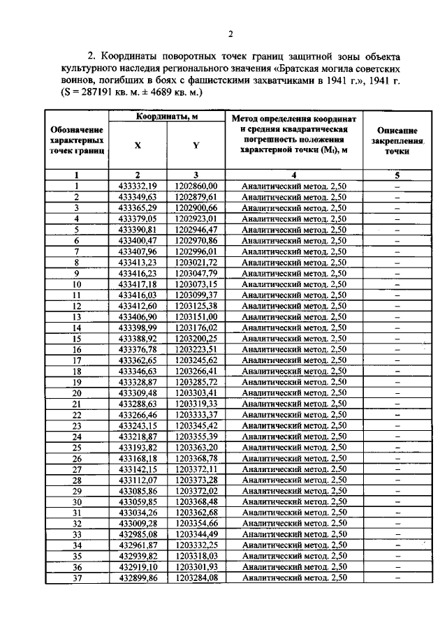
"Об утверждении графического описания местоположения границ защитной зоны объекта культурного наследия регионального значения "Братская могила советских воинов, погибших в боях с фашистскими захватчиками в 1941 г."‚ 1941 г. (Курская область, Хомутовский район, хут. Павловский)"
"Об утверждении графического описания местоположения границ защитной зоны объекта культурного наследия регионального значения "Братская могила советских воинов, погибших в боях с фашистскими захватчиками в 1941 г."‚ 1941 г. (Курская область, Хомутовский район, хут. Павловский)"
Номер опубликования: 4601202110210014
Дата опубликования:
21.10.2021
