Официальное опубликование правовых актов
ОФИЦИАЛЬНОЕ ОПУБЛИКОВАНИЕ
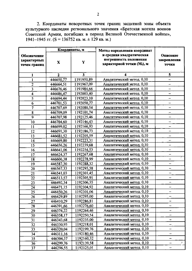
Приказ Комитета по охране объектов культурного наследия Курской области от 14.10.2021 № 01.1-08/466
"Об утверждении графического описания местоположения границ защитной зоны объекта культурного наследия регионального значения "Братская могила воинов Советской Армии, погибших в период Великой Отечественной войны", 1941—1945 гг. (Курская область, Хомутовский район, село Романово)"
Номер опубликования: 4601202110210001
Дата опубликования: 21.10.2021
Страница №3 из 5:
Увеличить