Официальное опубликование правовых актов
ОФИЦИАЛЬНОЕ ОПУБЛИКОВАНИЕ
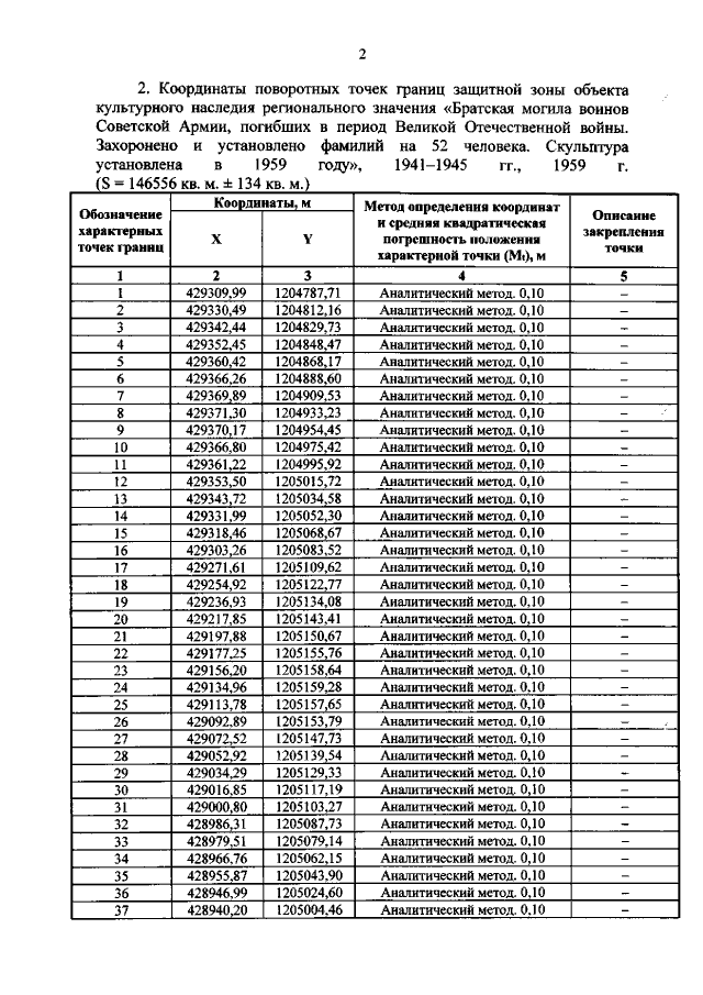
Приказ Комитета по охране объектов культурного наследия Курской области от 14.10.2021 № 01.1-08/469
"Об утверждении графического описания местоположения границ защитной зоны объекта культурного наследия регионального значения "Братская могила воинов Советской Армии, погибших в период Великой Отечественной войны. Захоронено и установлено фамилий На 52 человека. Скульптура установлена в 1959 году", 1941—1945 гг., 1959 г. (Курская область, Хомутовский район, село Петровское (в центре села)"
Номер опубликования: 4601202110200002
Дата опубликования: 20.10.2021
Страница №3 из 5:
Увеличить