Приказ Комитета по охране объектов культурного наследия Курской области от 04.10.2021 № 01.1-08/447
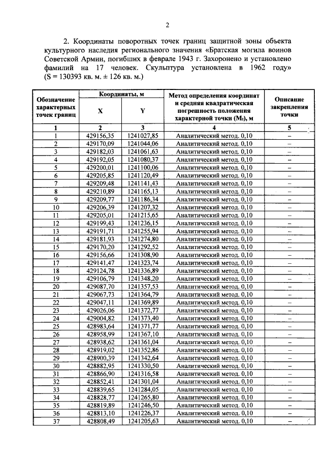
"Об утверждении графического описания местоположения границ защитной зоны объекта культурного наследия регионального значения "Братская могила воинов Советской Армии, погибших в феврале 1943 г. Захоронено и установлено фамилий на 17 человек. Скульптура установлена в 1962 году" (Курская область, Конышевский район, с. Захарково)"
"Об утверждении графического описания местоположения границ защитной зоны объекта культурного наследия регионального значения "Братская могила воинов Советской Армии, погибших в феврале 1943 г. Захоронено и установлено фамилий на 17 человек. Скульптура установлена в 1962 году" (Курская область, Конышевский район, с. Захарково)"
Номер опубликования: 4601202110080025
Дата опубликования:
08.10.2021
