Приказ Комитета по охране объектов культурного наследия Курской области от 04.10.2021 № 01.1-08/455
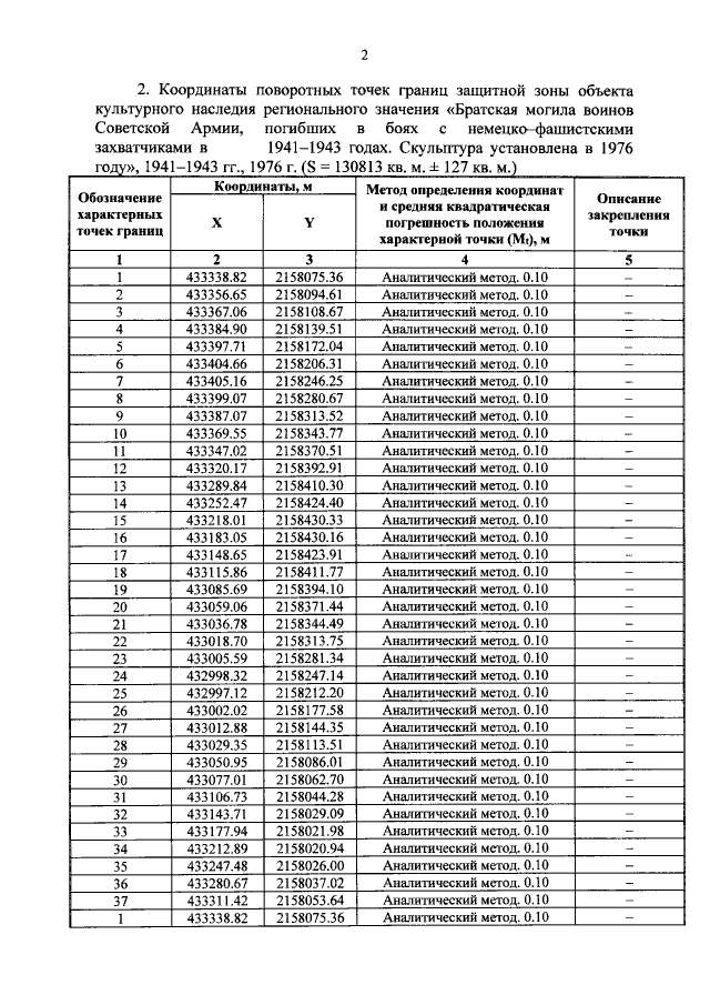
"Об утверждении графического описания местоположения границ защитной зоны объекта культурного наследия регионального значения "Братская могила воинов Советской Армии, погибших в боях с немецко-фашистскими захватчиками в 1941—1943 годах. Скульптура установлена в 1976 году", 1941—1943 гг.‚ 1976 г. (Курская область, Черемисиновский район, село Михайловка (в центре села)"
"Об утверждении графического описания местоположения границ защитной зоны объекта культурного наследия регионального значения "Братская могила воинов Советской Армии, погибших в боях с немецко-фашистскими захватчиками в 1941—1943 годах. Скульптура установлена в 1976 году", 1941—1943 гг.‚ 1976 г. (Курская область, Черемисиновский район, село Михайловка (в центре села)"
Номер опубликования: 4601202110080018
Дата опубликования:
08.10.2021
