Приказ Комитета по охране объектов культурного наследия Курской области от 04.10.2021 № 01.1-08/446
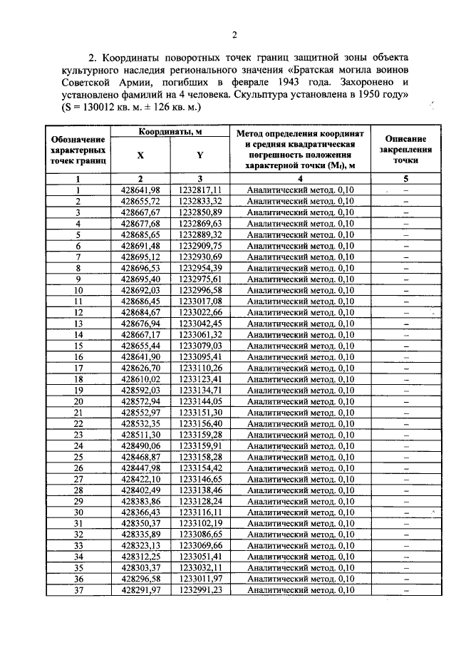
"Об утверждении графического описания местоположения границ защитной зоны объекта культурного наследия регионального значения "Братская могила воинов Советской Армии, погибших в феврале 1943 года. Захоронено и установлено фамилий на 4 человека. Скульптура установлена в 1950 году" (Курская область, Конышевский район, хут. Заветенский)"
"Об утверждении графического описания местоположения границ защитной зоны объекта культурного наследия регионального значения "Братская могила воинов Советской Армии, погибших в феврале 1943 года. Захоронено и установлено фамилий на 4 человека. Скульптура установлена в 1950 году" (Курская область, Конышевский район, хут. Заветенский)"
Номер опубликования: 4601202110080016
Дата опубликования:
08.10.2021
