Приказ Комитета по охране объектов культурного наследия Курской области от 04.10.2021 № 01.1-08/443
"Об утверждении графического описания местоположения границ защитной зоны объекта культурного наследия регионального значения "Могила неизвестного советского воина", 1943 г. (Курская область, Конышевский район, с. Беляево)"
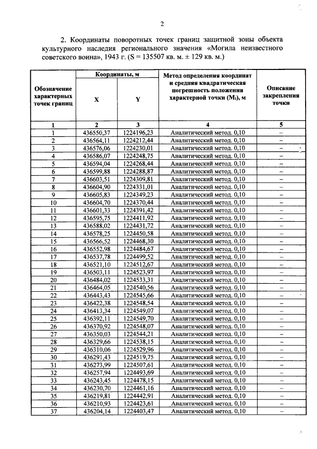
"Об утверждении графического описания местоположения границ защитной зоны объекта культурного наследия регионального значения "Могила неизвестного советского воина", 1943 г. (Курская область, Конышевский район, с. Беляево)"
Номер опубликования: 4601202110080014
Дата опубликования:
08.10.2021
