Официальное опубликование правовых актов
ОФИЦИАЛЬНОЕ ОПУБЛИКОВАНИЕ
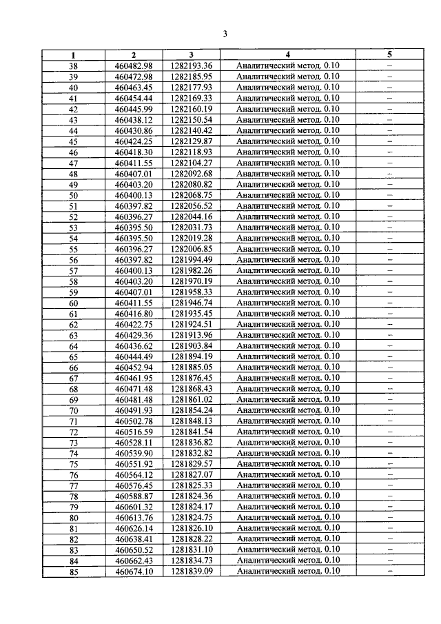
Приказ Комитета по охране объектов культурного наследия Курской области от 04.10.2021 № 01.1-08/459
"Об утверждении графического описания местоположения границ защитной зоны объекта культурного наследия регионального значения "Братская могила воинов Советской Армии, погибших в период Великой Отечественной войны", 1941 —1945 гг. (Курская область, Фатежский район, д. Шалимовка)"
Номер опубликования: 4601202110080013
Дата опубликования: 08.10.2021
Страница №4 из 6:
Увеличить