Приказ Комитета по охране объектов культурного наследия Курской области от 04.10.2021 № 01.1-08/451
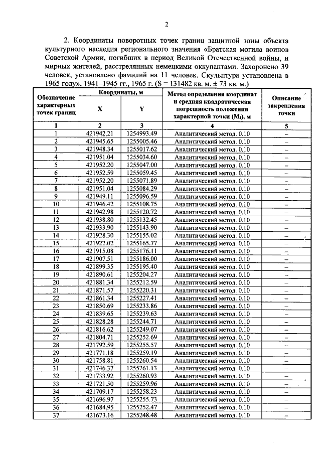
"Об утверждении графического описания местоположения границ защитной зоны объекта культурного наследия регионального значения "Братская могила воинов Советской Армии, погибших в период Великой Отечественной войны, и мирных жителей, расстрелянных немецкими оккупантами. Захоронено 39 человек, установлено фамилий на 11 человек. Скульптура установлена в 1965 году", 1941—1945 гг., 1965 г. (Курская область, Курчатовский район, д. Кожля)"
"Об утверждении графического описания местоположения границ защитной зоны объекта культурного наследия регионального значения "Братская могила воинов Советской Армии, погибших в период Великой Отечественной войны, и мирных жителей, расстрелянных немецкими оккупантами. Захоронено 39 человек, установлено фамилий на 11 человек. Скульптура установлена в 1965 году", 1941—1945 гг., 1965 г. (Курская область, Курчатовский район, д. Кожля)"
Номер опубликования: 4601202110080012
Дата опубликования:
08.10.2021
