Официальное опубликование правовых актов
ОФИЦИАЛЬНОЕ ОПУБЛИКОВАНИЕ
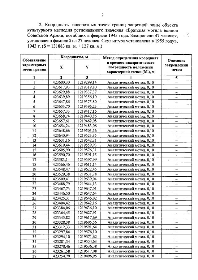
Приказ Комитета по охране объектов культурного наследия Курской области от 04.10.2021 № 01.1-08/449
"Об утверждении графического описания местоположения границ защитной зоны объекта культурного наследия регионального значения "Братская могила воинов Советской Армии, погибших в феврале 1943 года. Захоронено 47 человек, установлено фамилий на 27 человек. Скульптура установлена в 1955 году", 1943 г. (Курская область, Конышевский район, с. Коробкино)"
Номер опубликования: 4601202110080007
Дата опубликования: 08.10.2021
Страница №3 из 5:
Увеличить