Приказ Комитета по охране объектов культурного наследия Курской области от 16.09.2021 № 01.1-08/408
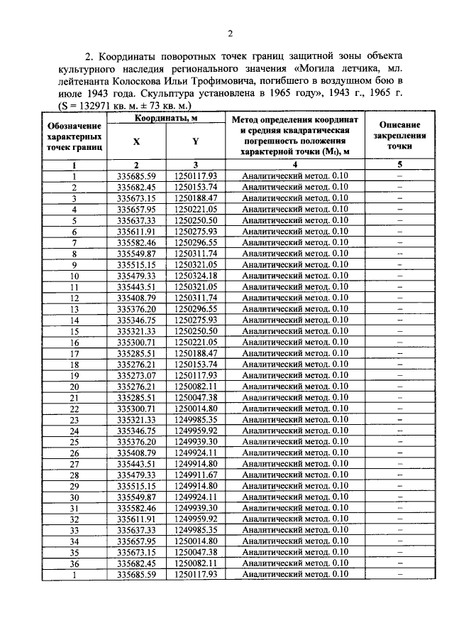
"Об утверждении графического описания местоположения границ защитной зоны объекта культурного наследия регионального значения "Могила летчика, мл. лейтенанта Колоскова Ильи Трофимовича, погибшего в воздушном бою в июле 1943 года. Скульптура установлена в 1965 году", 1943 г.‚ 1965 г. (Курская область, Беловский район, с. Забужевка Кондратовского сельсовета (в центре села)"
"Об утверждении графического описания местоположения границ защитной зоны объекта культурного наследия регионального значения "Могила летчика, мл. лейтенанта Колоскова Ильи Трофимовича, погибшего в воздушном бою в июле 1943 года. Скульптура установлена в 1965 году", 1943 г.‚ 1965 г. (Курская область, Беловский район, с. Забужевка Кондратовского сельсовета (в центре села)"
Номер опубликования: 4601202109230001
Дата опубликования:
23.09.2021
