Приказ Комитета по охране объектов культурного наследия Курской области от 16.09.2021 № 01.1-08/411
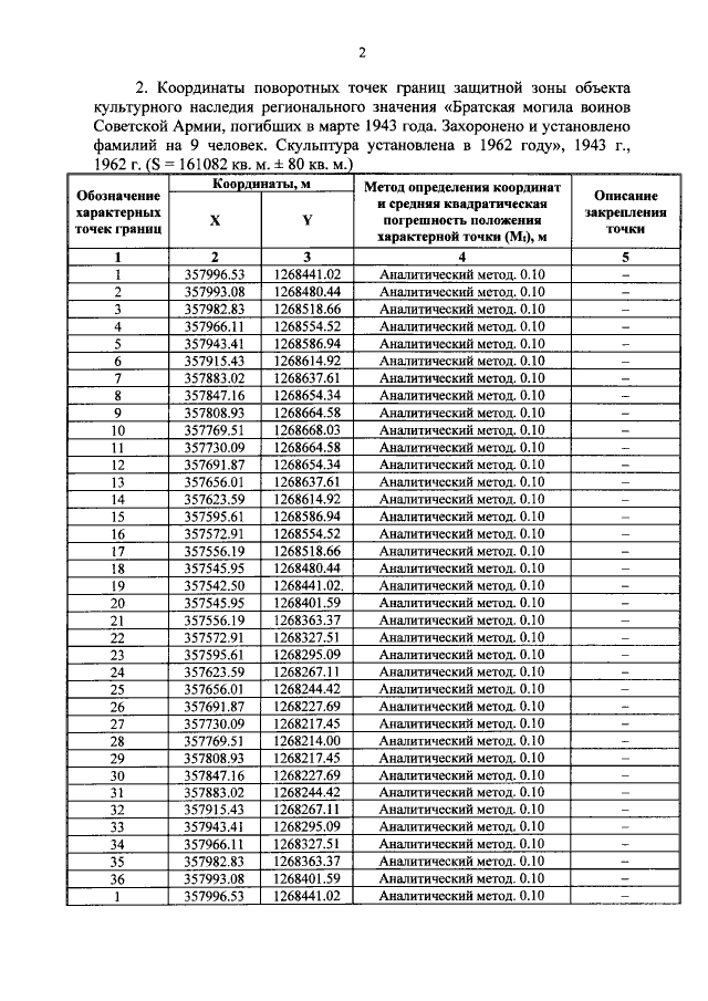
"Об утверждении графического описания местоположения границ защитной зоны объекта культурного наследия регионального значения "Братская могила воинов Советской Армии, погибших в марте 1943 года. Захоронено и установлено фамилий на 9 человек. Скульптура установлена в 1962 году", 1943 г.‚ 1962 г. (Курская область, Беловский район, с. Долгие Буды (в центре села)"
"Об утверждении графического описания местоположения границ защитной зоны объекта культурного наследия регионального значения "Братская могила воинов Советской Армии, погибших в марте 1943 года. Захоронено и установлено фамилий на 9 человек. Скульптура установлена в 1962 году", 1943 г.‚ 1962 г. (Курская область, Беловский район, с. Долгие Буды (в центре села)"
Номер опубликования: 4601202109220003
Дата опубликования:
22.09.2021
