Официальное опубликование правовых актов
ОФИЦИАЛЬНОЕ ОПУБЛИКОВАНИЕ
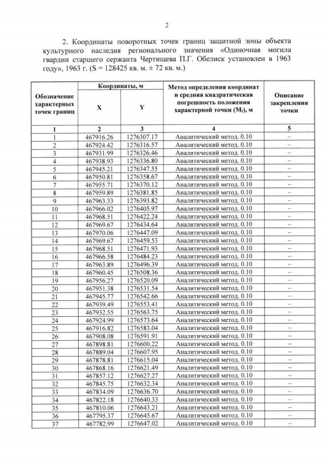
Приказ Комитета по охране объектов культурного наследия Курской области от 25.08.2021 № 01.1-08/384
"Об утверждении графического описания местоположения границ защитной зоны объекта культурного наследия регионального значения "Одиночная могила гвардии старшего сержанта Чертищева П.Г. Обелиск установлен в 1963 году", 1963 г. (Курская область, Фатежский район, дер. Ржава)"
Номер опубликования: 4601202108300017
Дата опубликования: 30.08.2021
Страница №3 из 6:
Увеличить