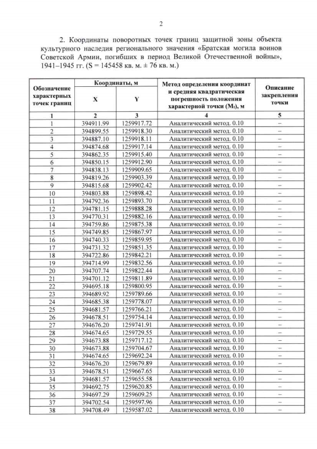
Приказ Комитета по охране объектов культурного наследия Курской области от 25.08.2021 № 01.1-08/371
"Об утверждении графического описания местоположения границ защитной зоны объекта культурного наследия регионального значения "Братская могила воинов Советской Армии, погибших в период Великой Отечественной войны", 1941-1945 гг. (Курская область, Курчатовский район, п. Никольский)"
"Об утверждении графического описания местоположения границ защитной зоны объекта культурного наследия регионального значения "Братская могила воинов Советской Армии, погибших в период Великой Отечественной войны", 1941-1945 гг. (Курская область, Курчатовский район, п. Никольский)"
Номер опубликования: 4601202108300010
Дата опубликования:
30.08.2021
