Официальное опубликование правовых актов
ОФИЦИАЛЬНОЕ ОПУБЛИКОВАНИЕ
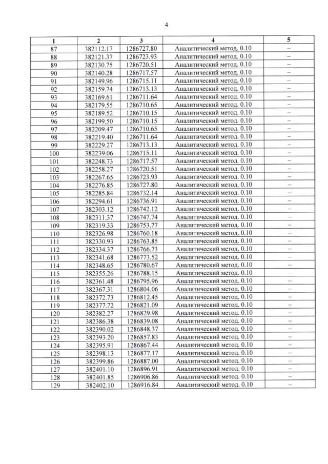
Приказ Комитета по охране объектов культурного наследия Курской области от 02.08.2021 № 01.1-08/296
"Об утверждении графического описания местоположения границ защитной зоны объекта культурного наследия регионального значения "Дом в с. Нижний Реутец Медвенского района, в котором жил писатель К.Д. Воробьев с 1919 по 1935 годы", 1919-1935 гг. (Курская область, Медвенский район, с. Нижний Реутец)"
Номер опубликования: 4601202108060004
Дата опубликования: 06.08.2021
Страница №5 из 6:
Увеличить