Официальное опубликование правовых актов
ОФИЦИАЛЬНОЕ ОПУБЛИКОВАНИЕ
Приказ Комитета по охране объектов культурного наследия Курской области от 29.07.2021 № 01.1-08/271
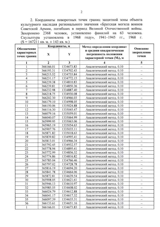
"Об утверждении графического описания местоположения границ защитной зоны объекта культурного наследия регионального значения "Братская могила воинов Советской Армии, погибших в период Великой Отечественной войны. Захоронено 2368 человек, установлено фамилий на 63 человека. Скульптура установлена в 1968 году", 1941-1945 гг., 1968 г. (Курская область, Пристенский район, пос. Пристень (в центре поселка, 50 м западнее от ст. Ржава)"
Номер опубликования: 4601202108040010
Дата опубликования: 04.08.2021
Страница №4 из 5:
Увеличить