Официальное опубликование правовых актов
ОФИЦИАЛЬНОЕ ОПУБЛИКОВАНИЕ
Приказ Комитета по охране объектов культурного наследия Курской области от 13.07.2021 № 01.1-08/247
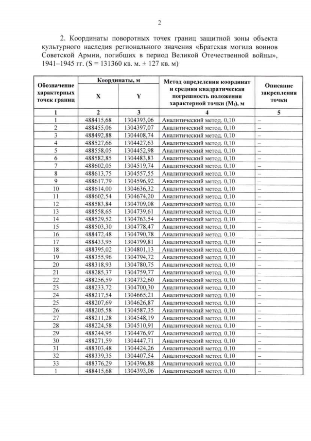
"Об утверждении графического описания местоположения границ защитной зоны объекта культурного наследия регионального значения "Братская могила воинов Советской Армии, погибших в период Великой Отечественной войны", 1941—1945 гг.‚ (Курская область, Поныровскнй район, село 1-ые Поныри (у здания начальной школы)"
Номер опубликования: 4601202107210007
Дата опубликования: 21.07.2021
Страница №3 из 4:
Увеличить