Официальное опубликование правовых актов
ОФИЦИАЛЬНОЕ ОПУБЛИКОВАНИЕ
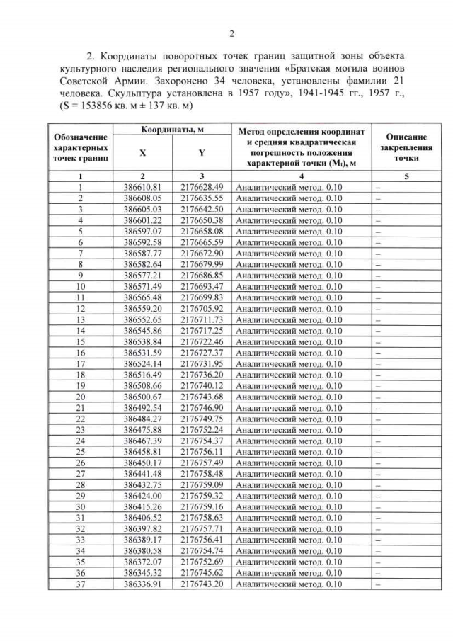
Приказ Комитета по охране объектов культурного наследия Курской области от 01.07.2021 № 01.1-08/213
"Об утверждении графического описания местоположения границ защитной зоны объекта культурного наследия регионального значения "Братская могила воинов Советской Армии. Захоронено 34 человека, установлены фамилии 21 человека. Скульптура установлена в 1957 году", 1941-1945 гг., 1957 г., Курская область Мантуровский район, д. Бурцевка (в центре села, у школы)"
Номер опубликования: 4601202107070014
Дата опубликования: 07.07.2021
Страница №3 из 7:
Увеличить