Приказ Комитета по охране объектов культурного наследия Курской области от 01.07.2021 № 01.1-08/206
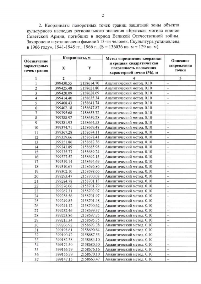
"Об утверждении графического описания местоположения границ защитной зоны объекта культурного наследия регионального значения "Братская могила воинов Советской Армии, погибших в период Великой Отечественной войны. Захоронено и установлено фамилий 13-ти человек. Скульптура установлена в 1966 году", 1941-1945 гг., 1966 г., Курская область, Мантуровский район, село Роговое (на восточной окраине села)"
"Об утверждении графического описания местоположения границ защитной зоны объекта культурного наследия регионального значения "Братская могила воинов Советской Армии, погибших в период Великой Отечественной войны. Захоронено и установлено фамилий 13-ти человек. Скульптура установлена в 1966 году", 1941-1945 гг., 1966 г., Курская область, Мантуровский район, село Роговое (на восточной окраине села)"
Номер опубликования: 4601202107070005
Дата опубликования:
07.07.2021
