Приказ Комитета по охране объектов культурного наследия Курской области от 17.06.2021 № 01.1-08/180
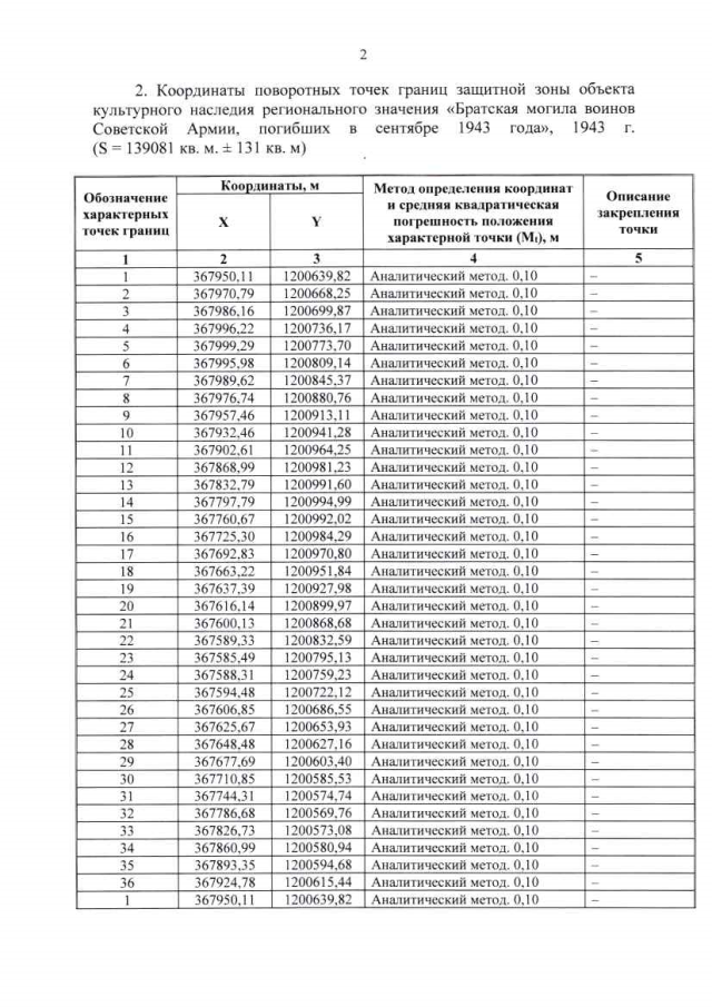
"Об утверждении графического описания местоположения границ защитной зоны объекта культурного наследия регионального значения "Братская могила воинов Советской Армии, погибших в сентябре 1943 года", 1943 г.,(Курская область, Глушковский район, с. Кульбаки)"
"Об утверждении графического описания местоположения границ защитной зоны объекта культурного наследия регионального значения "Братская могила воинов Советской Армии, погибших в сентябре 1943 года", 1943 г.,(Курская область, Глушковский район, с. Кульбаки)"
Номер опубликования: 4601202106220001
Дата опубликования:
22.06.2021
