Официальное опубликование правовых актов
ОФИЦИАЛЬНОЕ ОПУБЛИКОВАНИЕ
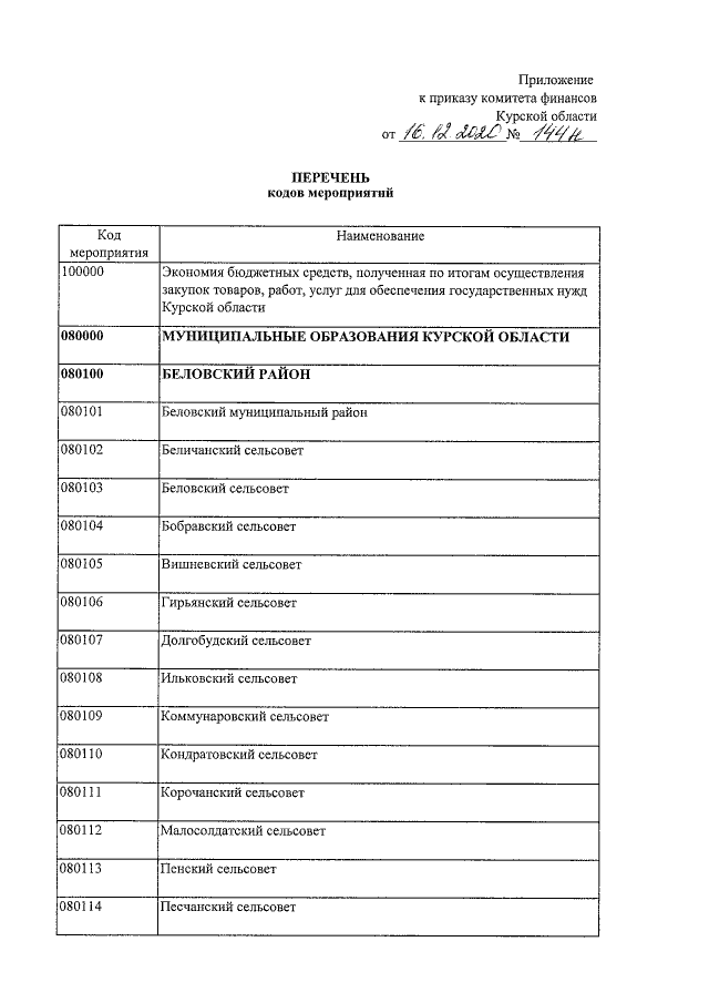
Приказ Комитета финансов Курской области от 16.12.2020 № 144н
"О внесении изменения в приказ комитета финансов Курской области от 04.12.2018 № 85н "О кодах мероприятий"
Номер опубликования: 4601202012210004
Дата опубликования: 21.12.2020
Страница №2 из 36:
Увеличить