Приказ Управления Администрации Курской области по охране объектов культурного наследия от 06.10.2020 № 219-п
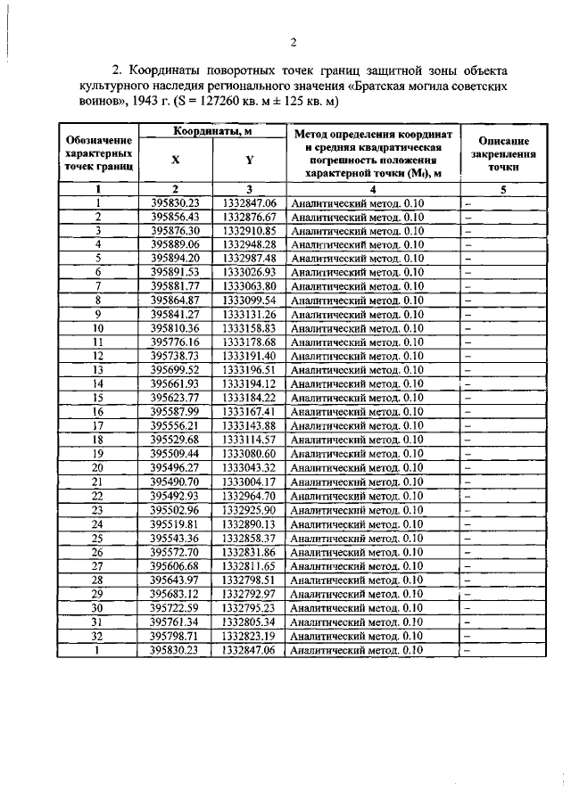
"Об утверждении графического описания местоположения границ защитной зоны объекта культурного наследия регионального значения "Братская могила советских воинов", 1943 г. (Курская область, Солнцевский район, д. Машкино)"
"Об утверждении графического описания местоположения границ защитной зоны объекта культурного наследия регионального значения "Братская могила советских воинов", 1943 г. (Курская область, Солнцевский район, д. Машкино)"
Номер опубликования: 4601202010090008
Дата опубликования:
09.10.2020
