Приказ Управления Администрации Курской области по охране объектов культурного наследия от 07.10.2020 № 223-п
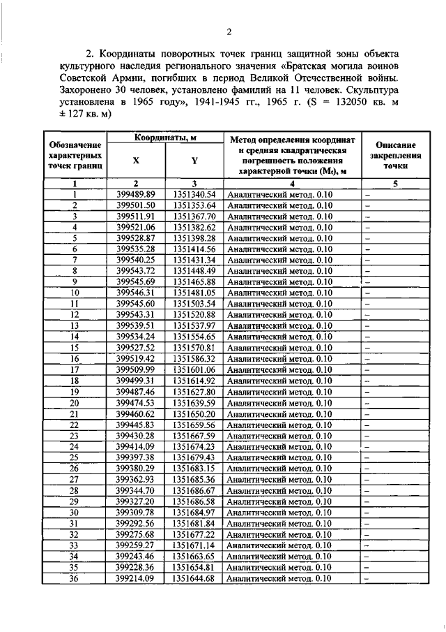
"Об утверждении графического описания местоположения границ защитной зоны объекта культурного наследия регионального значения "Братская могила воинов Советской Армии, погибших в период Великой Отечественной войны. Захоронено 30 человек, установлено фамилий на 11 человек. Скульптура установлена в 1965 году", 1941—1945 гг.‚ 1965 г. (Курская область, Солнцевский район, с. Гололобовка, северо-восточная окраина)"
"Об утверждении графического описания местоположения границ защитной зоны объекта культурного наследия регионального значения "Братская могила воинов Советской Армии, погибших в период Великой Отечественной войны. Захоронено 30 человек, установлено фамилий на 11 человек. Скульптура установлена в 1965 году", 1941—1945 гг.‚ 1965 г. (Курская область, Солнцевский район, с. Гололобовка, северо-восточная окраина)"
Номер опубликования: 4601202010090005
Дата опубликования:
09.10.2020
