Официальное опубликование правовых актов
ОФИЦИАЛЬНОЕ ОПУБЛИКОВАНИЕ
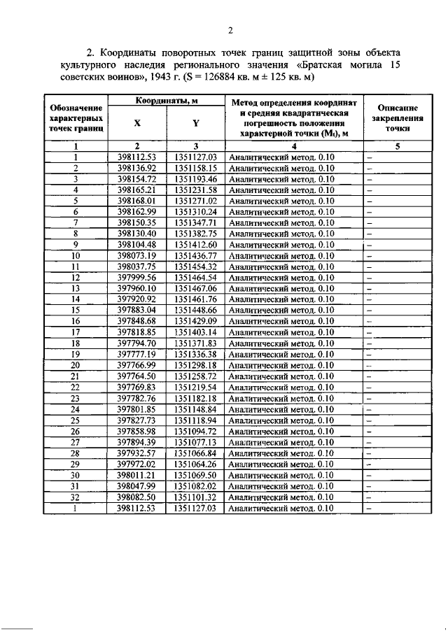
Приказ Управления Администрации Курской области по охране объектов культурного наследия от 07.10.2020 № 224-п
"Об утверждении графического описания местоположения границ защитной зоны объекта культурного наследия регионального значения "Братская могила 15 советских воинов", 1943 г. (Курская область, Солнцевский район, д. Ниженка)"
Номер опубликования: 4601202010090003
Дата опубликования: 09.10.2020
Страница №3 из 4:
Увеличить