Официальное опубликование правовых актов
ОФИЦИАЛЬНОЕ ОПУБЛИКОВАНИЕ
Приказ Управления Администрации Курской области по охране объектов культурного наследия от 20.07.2020 № 139-п
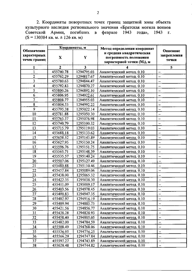
"Об утверждении графического описания местоположения границ защитной зоны объекта культурного наследия регионального значения "Братская могила воинов Советской Армии, погибших в феврале 1943 года", 1943 г. (Курская область, Золотухинский район, Дмитриевский сельсовет, д. 2-е Конево)"
Номер опубликования: 4601202007240008
Дата опубликования: 24.07.2020
Страница №3 из 5:
Увеличить