Приказ Управления Администрации Курской области по охране объектов культурного наследия от 20.07.2020 № 142-п
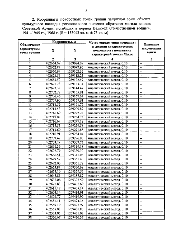
"Об утверждении графического описания местоположения границ защитной зоны объекта культурного наследия регионального значения "Братская могила воинов Советской Армии, погибших в период Великой Отечественной войны", 1941—1945 гг.‚ 1968 г. (Курская область, Октябрьский район, д. Артюховка)"
"Об утверждении графического описания местоположения границ защитной зоны объекта культурного наследия регионального значения "Братская могила воинов Советской Армии, погибших в период Великой Отечественной войны", 1941—1945 гг.‚ 1968 г. (Курская область, Октябрьский район, д. Артюховка)"
Номер опубликования: 4601202007230004
Дата опубликования:
23.07.2020
