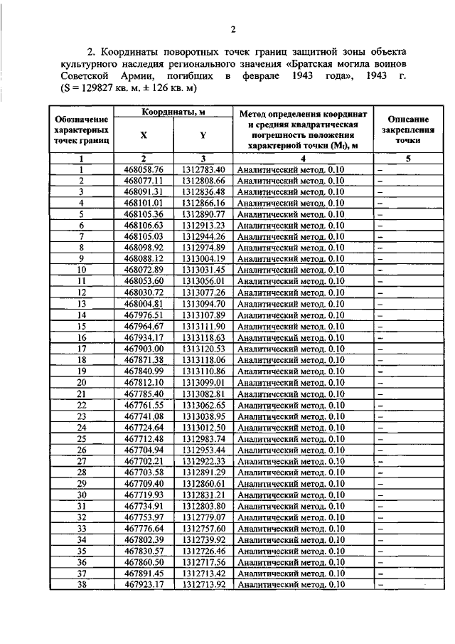
Приказ Управления Администрации Курской области по охране объектов культурного наследия от 20.07.2020 № 136-п
"Об утверждении графического описания местоположения границ защитной зоны объекта культурного наследия регионального значения "Братская могила воинов Советской Армии, погибших в феврале 1943 года", 1943 г. (Курская область, Золотухинский район, село Коронино)"
"Об утверждении графического описания местоположения границ защитной зоны объекта культурного наследия регионального значения "Братская могила воинов Советской Армии, погибших в феврале 1943 года", 1943 г. (Курская область, Золотухинский район, село Коронино)"
Номер опубликования: 4601202007230003
Дата опубликования:
23.07.2020
