Официальное опубликование правовых актов
ОФИЦИАЛЬНОЕ ОПУБЛИКОВАНИЕ
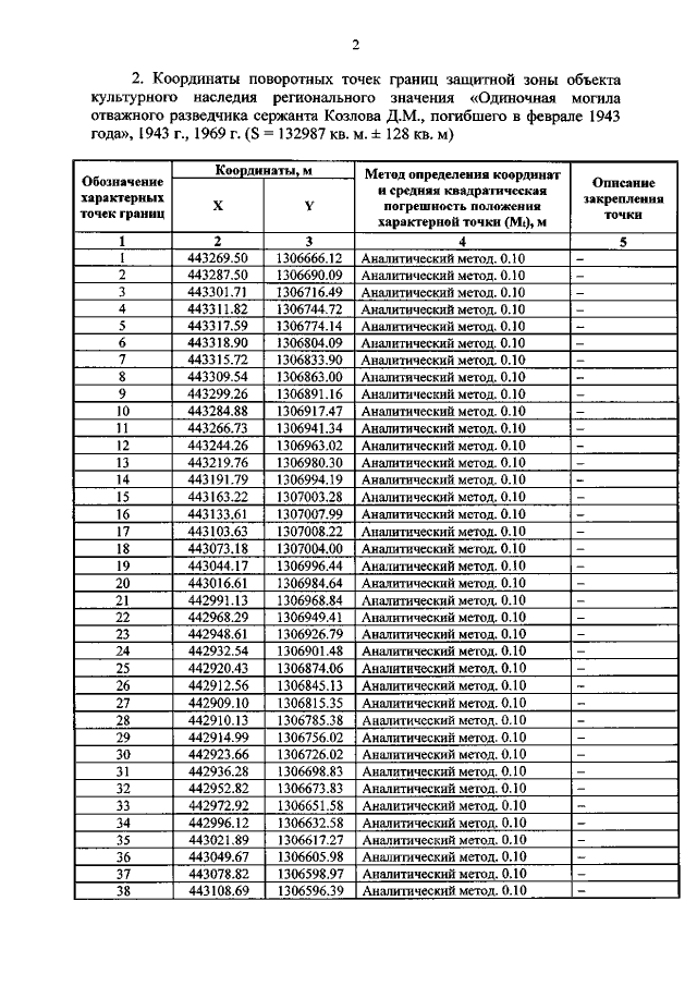
Приказ Управления Администрации Курской области по охране объектов культурного наследия от 20.07.2020 № 137-п
"Об утверждении графического описания местоположения границ защитной зоны объекта культурного наследия регионального значения "Одиночная могила отважного разведчика сержанта Козлова Д.М.‚ погибшего в феврале 1943 года", 1943 г., 1969 г. (Курская область, Золотухинский район, с. Тазово)"
Номер опубликования: 4601202007230002
Дата опубликования: 23.07.2020
Страница №3 из 5:
Увеличить