Официальное опубликование правовых актов
ОФИЦИАЛЬНОЕ ОПУБЛИКОВАНИЕ
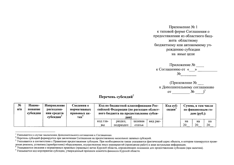
Приказ Комитета финансов Курской области от 18.06.2020 № 68н
"Об утверждении типовой формы Соглашения о предоставлении из областного бюджета областному бюджетному или автономному учреждению субсидии на иные цели"
Номер опубликования: 4601202006230008
Дата опубликования: 23.06.2020
Страница №14 из 34:
Увеличить