Официальное опубликование правовых актов
ОФИЦИАЛЬНОЕ ОПУБЛИКОВАНИЕ
Приказ Управления по охране объектов культурного наследия Курской области от 17.06.2020 № 120-п
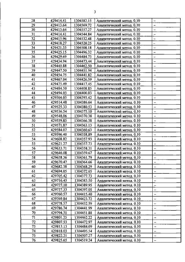
"Об утверждении графического описания местоположения границ защитной зоны объекта культурного наследия регионального значения "Братская могила воинов Советской Армии, погибших в феврале 1943 года. Захоронено 30 человек, установлено фамилий на 19 человек. Обелиск установлен в 1952 году", (Курская область, Курский район, п. Камыши)"
Номер опубликования: 4601202006230005
Дата опубликования: 23.06.2020
Страница №4 из 6:
Увеличить