Официальное опубликование правовых актов
ОФИЦИАЛЬНОЕ ОПУБЛИКОВАНИЕ
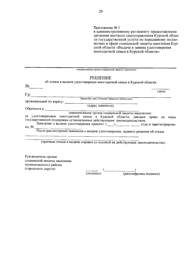
Приказ Комитета социального обеспечения, материнства и детства Курской области от 19.05.2020 № 214
"Об утверждении Административного регламента по предоставлению органами местного самоуправления Курской области государственной услуги по переданному полномочию в сфере социальной защиты населения Курской области "Выдача и замена удостоверения многодетной семьи в Курской области"
Номер опубликования: 4601202005260002
Дата опубликования: 26.05.2020
Страница №31 из 47:
Увеличить