Официальное опубликование правовых актов
ОФИЦИАЛЬНОЕ ОПУБЛИКОВАНИЕ
Приказ Комитета социального обеспечения, материнства и детства Курской области от 09.08.2019 № 410
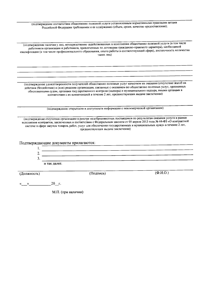
"Об утверждении Административного регламента предоставления комитетом социального обеспечения, материнства и детства Курской области государственной услуги "Оценка качества оказания общественно полезных услуг социально ориентированной некоммерческой организацией"
Номер опубликования: 4601201908140001
Дата опубликования: 14.08.2019
Страница №31 из 34:
Увеличить