Официальное опубликование правовых актов
ОФИЦИАЛЬНОЕ ОПУБЛИКОВАНИЕ
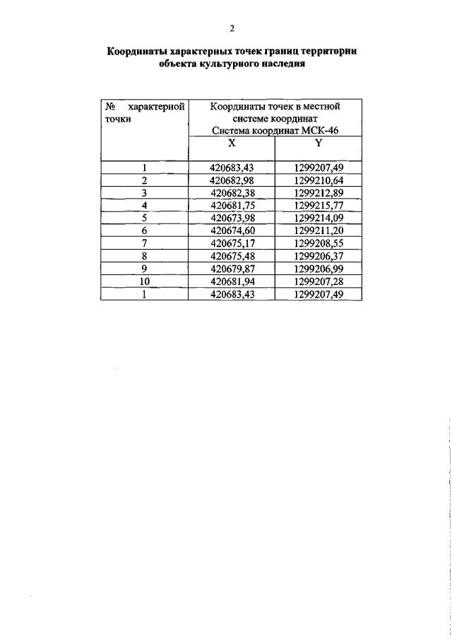
Приказ Управления Администрации Курской области по охране объектов культурного наследия от 01.08.2019 № 120-п
"Об утверждении границ и режима использования территории объекта культурного наследия регионального значения "Бюст дважды Героя Советского Союза А.Е. Боровых", расположенного по адресу: Курская область, г. Курск, сад им. Первого Мая"
Номер опубликования: 4601201908020003
Дата опубликования: 02.08.2019
Страница №3 из 5:
Увеличить