Официальное опубликование правовых актов
ОФИЦИАЛЬНОЕ ОПУБЛИКОВАНИЕ
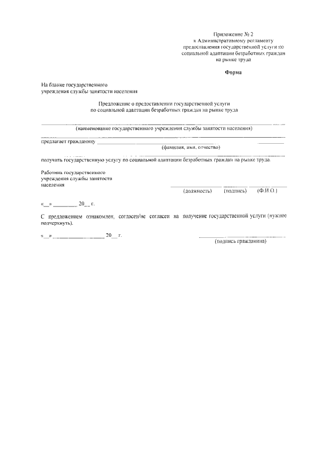
Приказ Комитета по труду и занятости населения Курской области от 20.12.2018 № 01-411
"Об утверждении административного регламента предоставления государственной услуги по социальной адаптации безработных граждан на рынке труда"
Номер опубликования: 4601201812250028
Дата опубликования: 25.12.2018
Страница №42 из 46:
Увеличить