Официальное опубликование правовых актов
ОФИЦИАЛЬНОЕ ОПУБЛИКОВАНИЕ
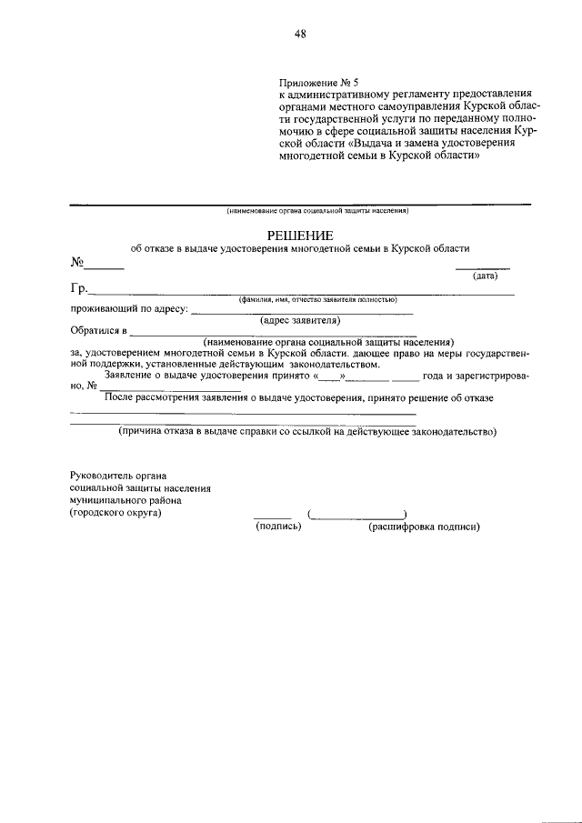
Приказ Комитета социального обеспечения Курской области от 01.11.2018 № 348 "Об утверждении административного регламента комитета социального обеспечения Курской области по предоставлению органами местного самоуправления Курской области государственной услуги по переданному полномочию в сфере социальной защиты населения Курской области "Выдача и замена удостоверения многодетной семьи в Курской области"
Номер опубликования: 4601201811060002
Дата опубликования: 06.11.2018
Страница №49 из 50:
Увеличить