Официальное опубликование правовых актов
ОФИЦИАЛЬНОЕ ОПУБЛИКОВАНИЕ
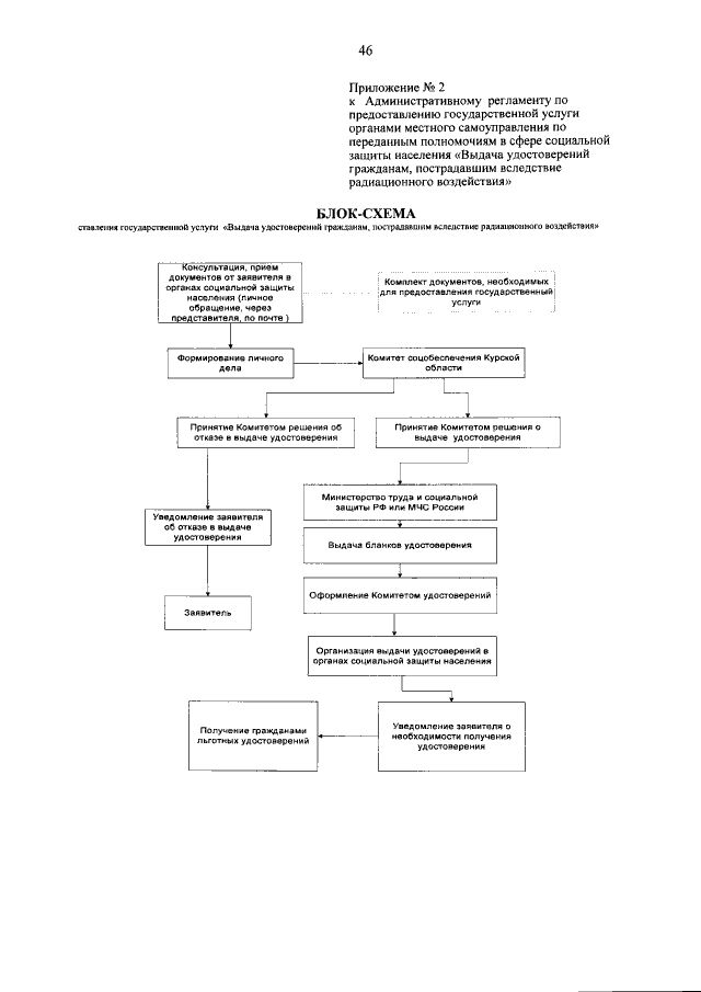
Приказ Комитета социального обеспечения Курской области от 15.10.2018 № 315 "О внесении изменений в Административный регламент предоставления государственной услуги комитетом социального обеспечения Курской области "Выдача удостоверений гражданам, пострадавшим вследствие радиационного воздействия"
Номер опубликования: 4601201810230009
Дата опубликования: 23.10.2018
Страница №47 из 61:
Увеличить