Официальное опубликование правовых актов
ОФИЦИАЛЬНОЕ ОПУБЛИКОВАНИЕ
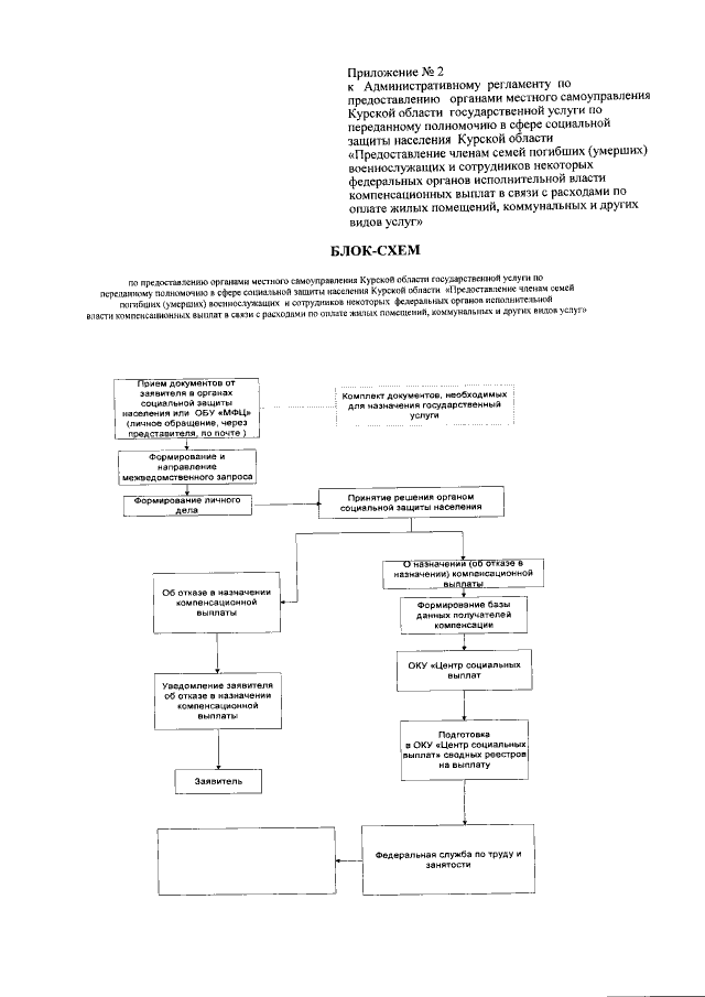
Приказ Комитета социального обеспечения Курской области от 19.10.2018 № 331 "О внесении изменений в Административный регламент по предоставлению органами местного самоуправления Курской области государственной услуги по переданному полномочию в сфере социальной защиты населения Курской области "Предоставление членам семей погибших (умерших) военнослужащих и сотрудников некоторых федеральных органов исполнительной власти компенсационных выплат в связи с расходами по оплате жилых помещений, коммунальных и других видов услуг"
Номер опубликования: 4601201810230005
Дата опубликования: 23.10.2018
Страница №52 из 60:
Увеличить