Официальное опубликование правовых актов
ОФИЦИАЛЬНОЕ ОПУБЛИКОВАНИЕ
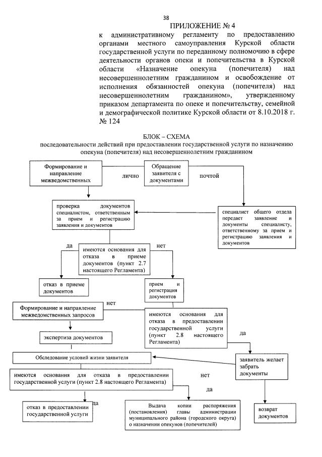
Приказ Департамента по опеке и попечительству, семейной и демографической политике Курской области от 08.10.2018 № 124
"Об утверждении административного регламента по предоставлению органами местного самоуправления Курской области государственной услуги по переданному полномочию в сфере деятельности органов опеки и попечительства в Курской области "Назначение опекуна (попечителя) над несовершеннолетним гражданином и освобождение от исполнения обязанностей опекуна (попечителя) над несовершеннолетним гражданином" в новой редакции"
Номер опубликования: 4601201810160017
Дата опубликования: 16.10.2018
Страница №40 из 53:
Увеличить