Официальное опубликование правовых актов
ОФИЦИАЛЬНОЕ ОПУБЛИКОВАНИЕ
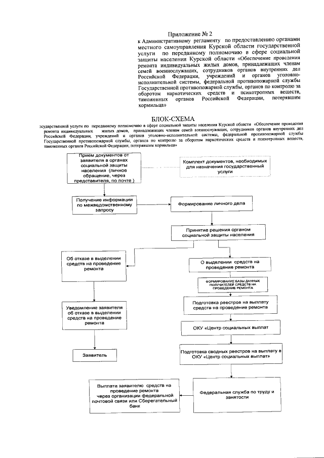
Приказ Комитета социального обеспечения Курской области от 11.10.2018 № 313 "О внесении изменений в Административный регламент по предоставлению органами местного самоуправления Курской области государственной услуги по переданному полномочию в сфере социальной защиты населения Курской области "Обеспечение проведения ремонта индивидуальных жилых домов, принадлежащих членам семей военнослужащих, сотрудников органов внутренних дел Российской Федерации, учреждений и органов уголовно - исполнительной системы, федеральной противопожарной службы Государственной противопожарной службы, органов по контролю за оборотом наркотических средств и психотропных веществ, таможенных органов Российской Федерации, потерявшим кормильца"
Номер опубликования: 4601201810160013
Дата опубликования: 16.10.2018
Страница №39 из 51:
Увеличить