Официальное опубликование правовых актов
ОФИЦИАЛЬНОЕ ОПУБЛИКОВАНИЕ
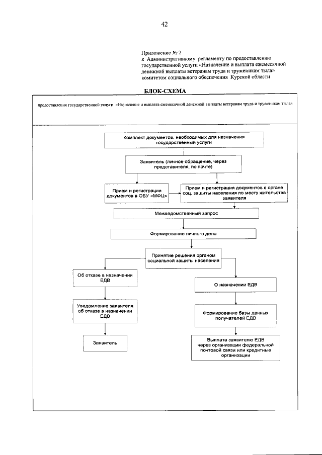
Приказ Комитета социального обеспечения Курской области от 08.10.2018 № 294 "О внесении изменений в Административный регламент по предоставлению государственной услуги органами местного самоуправления по переданным полномочиям в сфере социальной защиты населения Курской области "Назначение и выплата ежемесячной денежной выплаты ветеранам труда и труженикам тыла"
Номер опубликования: 4601201810110024
Дата опубликования: 11.10.2018
Страница №43 из 49:
Увеличить