Официальное опубликование правовых актов
ОФИЦИАЛЬНОЕ ОПУБЛИКОВАНИЕ
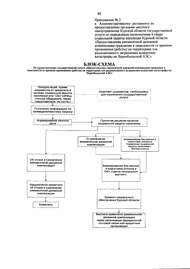
Приказ Комитета социального обеспечения Курской области от 05.10.2018 № 281 "О внесении изменений в Административный регламент по предоставлению государственной услуги органами местного самоуправления по переданным полномочиям в сфере социальной защиты населения "Предоставление ежемесячной денежной компенсации гражданам в зависимости от времени проживания (работы) на территориях зон радиоактивного загрязнения вследствие катастрофы на Чернобыльской АЭС"
Номер опубликования: 4601201810110023
Дата опубликования: 11.10.2018
Страница №50 из 57:
Увеличить